image

Změna velikosti písma

Drobečková navigace

Úvod > Samospráva > Vyhlášky, zákony a usnesení zastupitelstva > Zápisy ZO rok 2006

Zápisy ze zasedání obecního zastupitelstva v roce 2006

(případné přílohy k zápisům jsou k nahlédnutí na obecním úřadě v úředních hodinách)

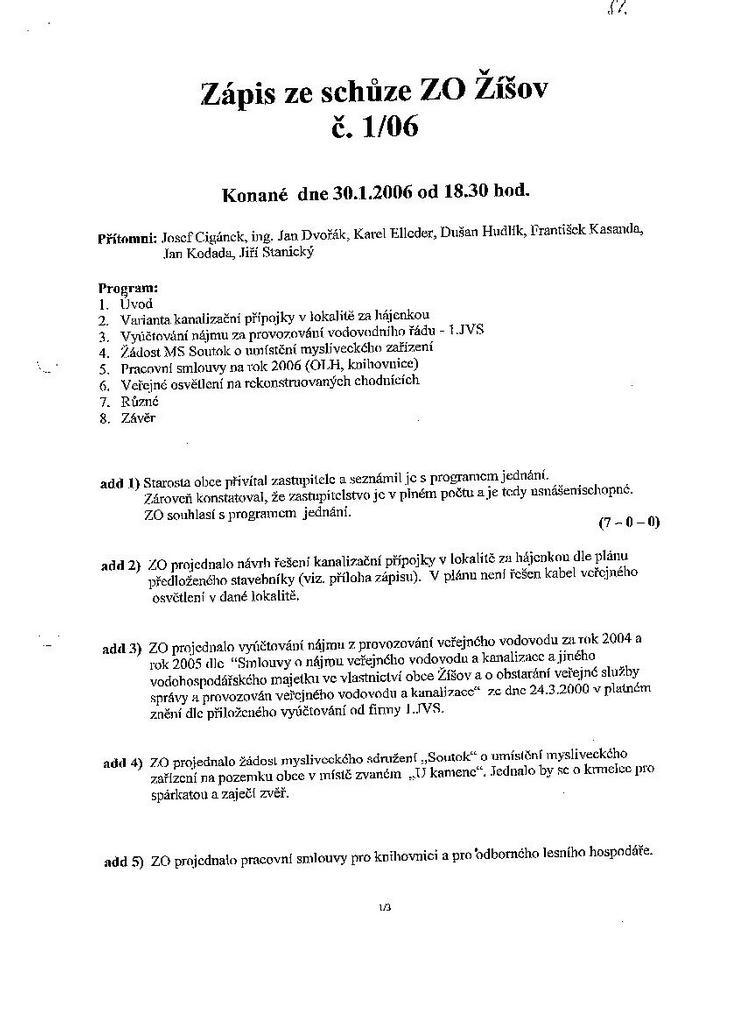
Zápis ze zasedání č. 1/06

 

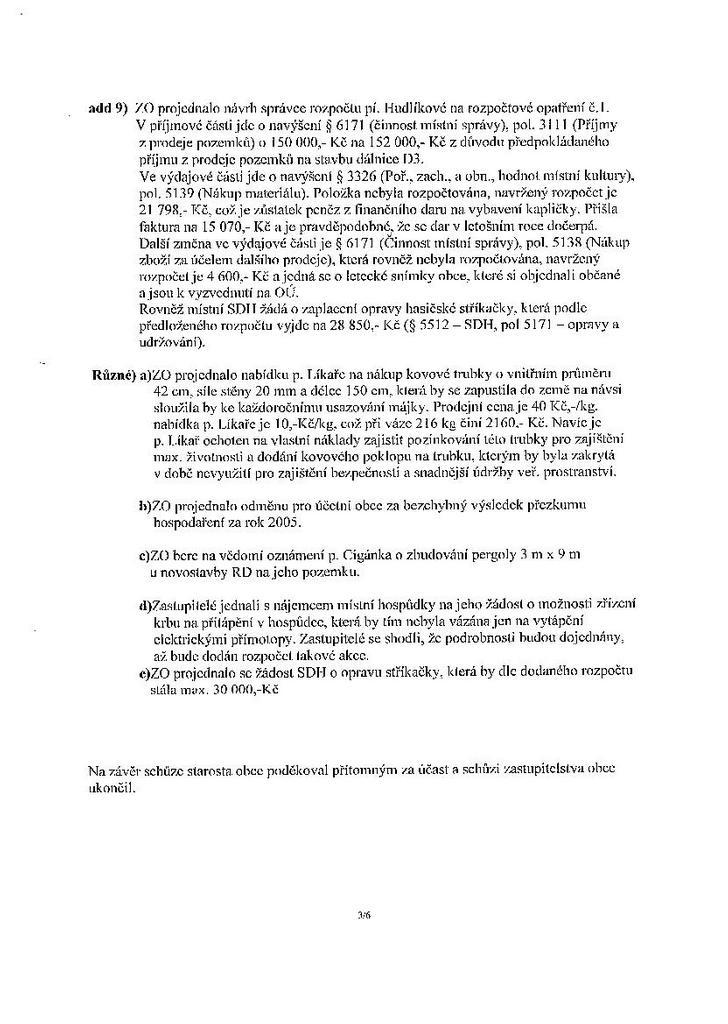
Zápis ze zasedání č. 2/06

  

  

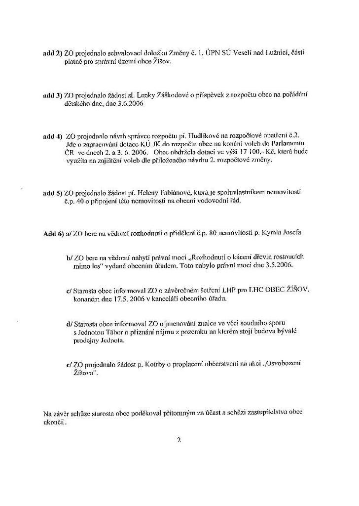
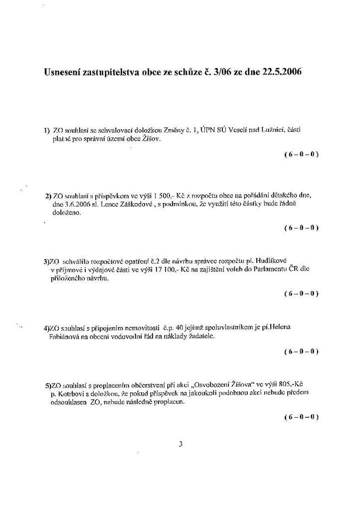
Zápis ze zasedání č. 3/06

   

Zápis ze zasedání č. 4/06

   

Zápis ze zasedání č. 5/06

   

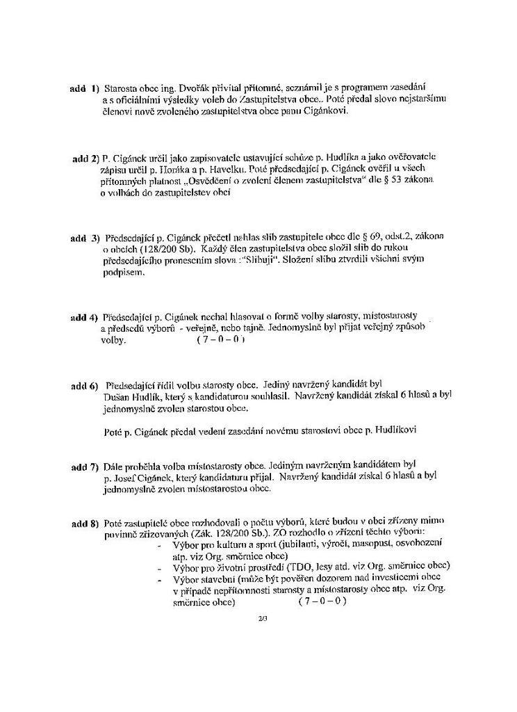
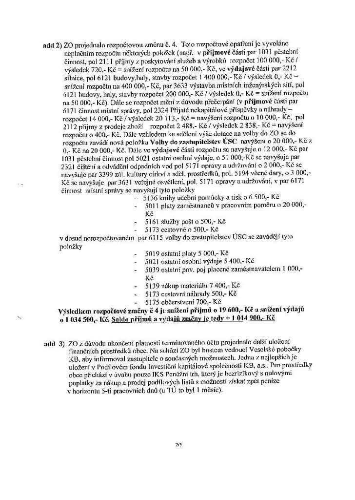
Zápis z ustavující schůze ZO 2.11.2006

  

Zápis ze zasedání č. 6/06

  

Zápis ze zasedání č. 7/06 ze dne 4.12.2006

  

Zápis ze schůze 8/06 ze dne 28.12.2006